Here are some good argumentative essay topics to get you started: Apple vs. Microsoft: Which software brand is more useful for students? Do violent video games have a negative Argumentative Essay Outline (Claim) Directions: Edit your essay by following the directions below. Make sure that you have all parts of each component. Check it off of your list after you Argumentative Essay Outline (To save a copy for yourself choose “file>download as” or “file>make a copy”. Cheers!) Intro; Hook Background information Thesis; Develop Your
Argumentative Essay Outline - Google Docs
Home » Blog »Learn How to Write an Argumentative Essay Outline. An argumentative essay is a part of academic writing in which a writer develops an argument based on proof and evidence. You can never avoid writing these essays if you are argumentative essay outlines student. Also, show how you analyze situations and make comments based on evidence. The quality of your essay depends on how perfectly it is structured and outlined. Are you having trouble developing an outline for your argumentative essay? Read below the blog to know everything about the argumentative essay outline. An argumentative essay outline is a plan through which the writer works and organizes the raw data. An outline provides you a track to follow for your papers and essays.
The outline helps you stick to the critical things making sure that you did not miss important information in the content. Outlining might confuse you if you have never developed one before. However, once you know how to create one, it will be a lot easier to draft a perfect argumentative essay. An argumentative essay consists of several equally important parts. These sections individually state the topic, arguments, evidence and supporting statements, etc. Creating each section systematically is a fundamental requirement of an outline. Learn how to make each part of the outline professionally in the following area. Just like any other academic writing, you need a foundation on which to build your essay.
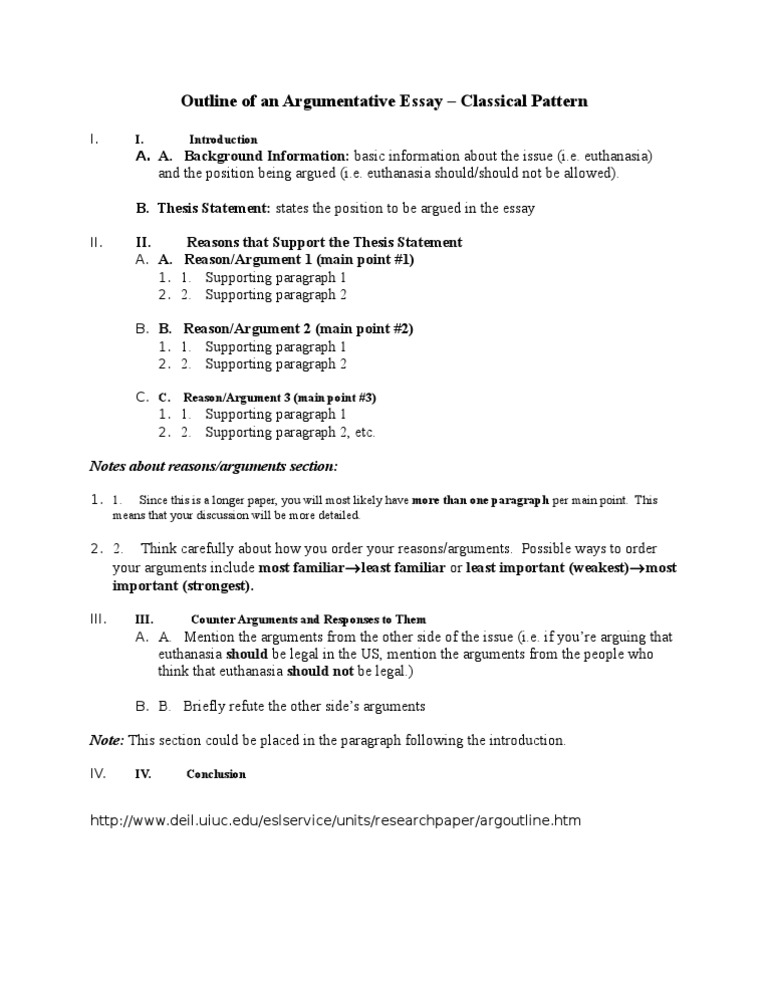
An introduction is the foundation of your essay, argumentative essay outlines. A proper and perfect intro will make your paper flawless and vice-versa. An introduction of an argumentative essay includes a hook, background information, and thesis statement, argumentative essay outlines. A hook is an opening statement of the essay's introduction. Here you present some background information about the topic. The background information should answer the following questions:. It is the last sentence of your introduction that is the focal point of your essay.
After the introductory paragraphs are written, argumentative essay outlines, the next part is the body of the argumentative essay. This part of the essay is essential to be structured well as it contains all the claims and pieces of evidence. For essays like an argumentative essay, it is imperative to make your claim in writing. A claim, or the core argument, argumentative essay outlines, is the basis of your entire essay. If you want your essay to be right in quality, make sure that the claims made are strong. You can support your claim with strong evidence.
In the main body, present your claim in the topic sentence. And let the audience know what the specific paragraph is about. However, also argumentative essay outlines your point of view. Making a claim in the argumentative essay is not enough. Making people believe your stance is what the objective of the writer is. For this purpose, you need to support your argument with evidence and supporting facts. The reality of your claim entirely depends argumentative essay outlines the credibility and reliability of the facts that you provide, argumentative essay outlines. While collecting information for your essay, students often ignore the opposing arguments.
After providing evidence for your claim, identify and include opposing views and counter-arguments and debunk them. There is always another side to the argument. Use evidence to disprove these opposing sides and arguments. The last part of the writing process of the outline is a conclusion. The power of a conclusion is often underestimated. If the ending is vague, abrupt, and not good, your whole essay will be a waste. Make sure that the length of the conclusion is the same as the introduction. Argumentative essay outlines and precise conclusions are effective.
In conclusion, a writer should never introduce new ideas and extra information. For essays like these, personal knowledge is not enough. You always have to research the essay topic and subject chosen to make healthy and valid points. Gather facts and accurate information to make your essay argumentative essay outlines and credible. The outline used to write an argumentative essay can also be used for persuasive essay writing. A few outline examples of an argumentative essay outline are given below:. Your whole argumentative essay depends on the outline you make for it. So the outline for your essay should be detailed, covering everything and direct to make your essay persuasive and readable.
At CollegeEssay. orgwe provide expert opinions and guidance to solve all academic-related problems of the students. Whether you want assistance with your college essay or a research paper, we provide high-quality and custom writing services. Place your order now for all your academic writings at a very affordable price. Paper Due? That's Our Job! Learn More. Limited Time Only! Learn How to Write an Argumentative Essay Outline Home » Blog »Learn How to Write an Argumentative Essay Outline. Contents Argumentative Essay Outline Argumentative Essay Introduction Argumentative Essay Body Paragraphs Argumentative Essay Conclusion Argumentative Essay Outline Example, argumentative essay outlines. An Ultimate Essay Writing Guide for Students.
About us "CollegeEssay" is the 1 Ranked Online home for great academic writing, argumentative essay outlines, essays, research papers, and graduate theses. Why us? Short deadline service. all major debit credit cards. Already have an account? Log In. No account? Sign up Forgot Password? Sign up Login. SEND ME PROMO CODE.
Creating the Argument Essay Outline
, time: 6:52Simple Argumentative Essay Outline | Template & Worksheet

Argumentative Essay Outline (Claim) Directions: Edit your essay by following the directions below. Make sure that you have all parts of each component. Check it off of your list after you Argumentative Essay Outline (To save a copy for yourself choose “file>download as” or “file>make a copy”. Cheers!) Intro; Hook Background information Thesis; Develop Your Here are some good argumentative essay topics to get you started: Apple vs. Microsoft: Which software brand is more useful for students? Do violent video games have a negative
No comments:
Post a Comment